Moto parabolico. Il moto parabolico descrive lo spostamento di un corpo materiale lungo una traiettoria parabolica. E' anche noto come moto di un proiettile o caduta dei gravi perché descrive il comportamento di un corpo in movimento quando è soggetto all'accelerazione di gravità (g). La caduta dei gravi. La balistica.. Soluzione degli esercizi sul moto di caduta libera. Esercizio 1. Una pallina da tennis viene lasciata cadere dal punto pi`u alto di una torre. Sapendo che il tempo che impiega a raggiungere il suolo `e pari a 2, 5 s, si determini: a) la velocit`a con cui giunge a terra; b) l'altezza della torre. Soluzione.

PPT Cinematica del “punto materiale” PowerPoint Presentation ID4622501

Caduta fatale per un motociclista di 44 anni Cronaca San Piero a Grado

PPT Meccanica 2 1 marzo 2011 PowerPoint Presentation, free download ID5460278

moto parabolico v0 obliqua YouTube

Caduta Di Un Grave Formule magachary

Moto di un corpo lanciato verso l'alto in verticale YouTube

Theoremz Moto di Caduta Libera Spiegazione, Quiz e Esercizi
Introduzione alla fisica studio della legge del moto di caduta libera di un grave

SPEZZARE IN 3 UNA MOTO CADUTA A 260KM/H A RACING STORY 2019 EP.12 YouTube

Esperimenti di Fisica con lo smartphone Pierluigi Paolucci

Esercizio svolto di Fisica Calcolare il tempo di caduta nota l’altezza YouTube
Introduzione alla fisica studio della legge del moto di caduta libera di un grave

Caduta Di Un Grave Formule magachary

Il Movimento Cinematica www fisicaxscuola altervista org Il

PPT Cinematica del “punto materiale” PowerPoint Presentation ID4622501

Caduta Di Un Grave Formule magachary

09 Equazioni del moto di caduta

Moto naturalmente accelerato (caduta di un grave) YouTube

Caduta di un grave Soluzione 3 GoPhysics

Caduta Di Un Grave Formule magachary
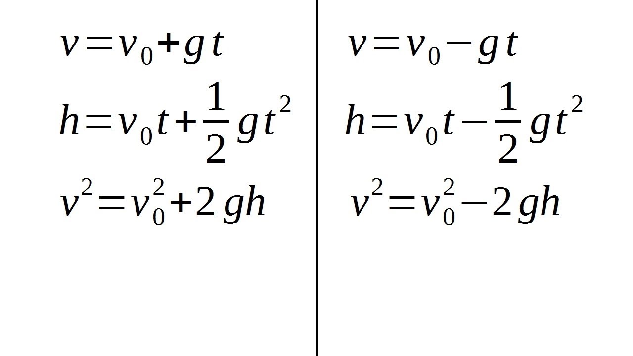
Indipendentemente dalla massa, ogni corpo in caduta libera sulla Terra cade con accelerazione g = 9,8 m/s 2. I corpi sottoposti all'azione della forza di gravità sono anche detti gravi . Il campo gravitazionale (misurabile indifferentemente in N/kg o m/s 2) rappresenta l' accelerazione (costante) di ogni corpo in caduta libera.. Il moto dei gravi. Ogni corpo lasciato libero, cade a terra con velocità crescente; si tratta quindi di un moto vario. Lasciando cadere da una certa altezza una sfera metallica ed una piuma, si osserva che la sferetta arriva a terra prima della piuma e con maggiore velocità, questa differenza è dovuta alla resistenza dell'aria, il cui.